Since the widespread distribution of electricity has existed, so have transformers. In 1894, Sir John Fleming wrote a book on the transformer—the first on the subject in the English language (Grossner, 1967). While the technology of the transformer is older—and has lost much of its appeal—it is still extremely necessary for the proper functioning of nearly all electrical devices and equipment. While most know what a transformer does, few know how the transformer does it. Through induction and conduction, a transformer transforms one voltage to another voltage.
While the real-world transformer can have a number of parts needed for practical use, the ideal, theoretical transformer is comprised of just a few, non-moving parts. Broken down to its most basic form, the transformer is comprised of a core, commonly laminated steel, that will carry the magnetic flux which is a key component to the concept of the transformer, and the coil, commonly made of a conductor (i.e., copper or aluminum) and insulating materials (Tufquin or Nomex).
By mechanical design, the transformer core is comprised of a closed ferromagnetic core containing a hole through which magnet wire can be wound (see diagram)—think of it like a donut. This allows “both magnetic flux and current [to] travel a closed path and are linked with each other” (Grossner, 1967). This simple requirement allows a many variations within the construction in terms of size and shape of core and coil. “Yet, the size of any transformer may be conveniently characterized by means of its basic geometry, whatever its shape” (Grossner, 1967).
All cores have “a cross-sectional area, and so does the window or aperture associated with it, even though each core is constructed differently” (Grossner, 1967). Every core we encounter, no matter the type, has a magnetic path, defined by l. The coil, which passes around the core, through the window, and back around the leg, has an average length, or mean length of turn MLT.
There are three main core types to take note of when designing a transformer. They include laminations, toroid, and C core. Laminations consist of thin sheets of iron alloy, which are readily stamped or punched into different configurations that allow for easy assembly. These laminations are normally stacked one lamination next to the other, interleaved at the corners to create a solid piece of steel, commonly called a “Stacked Core”. The toroidal core is a donut-like core made of thin strips of iron alloy concentrically wound into its shape. The C core is comprised of two “C” shaped metal cores, essentially appearing as a toroid core cut in half.
The coil of the transformer is comprised of two components: conductors and insulators. Conductors (e.g., copper or aluminum foil or magnet wire, and Litz wire) are wound around the core. *Insulation is usually placed between the magnet wire and the core. In theoretical writing, often we describe the transformer as a single-phase transformer having two separate coils—one primary and one secondary coil. However, often times for practical purposes there is just one coil containing both primary and secondary windings in a single-phase unit. Although, with certain specialized transformers, coils may be wound any number of ways as is needed (Grossner, 1967).
“In practice the primary winding may be split, there may be more than one secondary winding, and any of these windings may consist of several layers of continuous magnet wire which has been wound either around a coil form or directly on the core” (Grossner, 1967). The wire is wound around a “leg” of the core helically, and is called a “winding”.
The transformer is one of the most relied upon and critical components of any electrical system. The transformer is comprised of a coil, or coils, placed appropriately so that the changing current from one coil—when hooked up to a power source—induces a magnetic field. This magnetic field excites the electrons in the second coil, inducing a voltage.
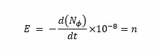
Now, the voltage induced in a coil is equal to the change of magnetic flux linkages N∅ with respect to time, otherwise known as Faraday’s Law. “Mathematically:

“where E is in volts, N is the number of turns, and ∅ is the flux in Maxwell’s or lines” (Grossner, 1967).
It is important to understand that the change in voltage from the primary winding (input winding) versus the secondary winding (output winding) is directly proportional to the number of turns in each winding.

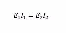
Here, the current is supplied by the power source to the primary coil while the current flows through the secondary coil and into the load. “In the ideal transformer, where there is perfect magnetic coupling and no loss of energy in the form of heat, the output power equals the input power” (Grossner, 1967), or:

Essentially, this means to say that the power rating must be the same on both windings. “To maintain this relationship, the current ratio I2⁄I1=E1⁄E2 must be inversely proportional to the turn ratio” (Grossner, 1967):

We can see from these equations that the possibilities and combinations of turns ratios, voltages, and currents are virtually unlimited.“
The longevity of the transformer is undoubtedly due to the simplicity of its basic ingredients, copper, iron, and insulation, and also to the fact that is has no continuously moving parts” (Grossner, 1967). In fact, it is common to find transformers still running that were manufactured 20 or 30 years ago. The transformer is a reliable piece of electrical equipment to which the importance to the electrical utility industry is quite widely recognized.
Quality Transformer and Electronics designs and manufactures high quality transformers, and have been doing so since 1964 (over 50 years). We work with engineers and buyers to help specify the appropriate unit to fit their needs. Small companies or large companies, private or public, government or military, we have worked with, and delivered for, these companies repeatedly. Contact us for your next transformer needs.